
Escrito por Fernando Bravo
Demografía e inmigración.
Es difícil estimar el tamaño de la población musulmana que vive en España. Las estadísticas disponibles no distinguen la población de acuerdo a la fe, lo que significa que sólo podemos estimar la cantidad empleando el origen nacional o la identidad nacional como signo de adhesión religiosa. Esto implica un cierto margen de error y, de manera indirecta, una cierta «etnificación» de la identidad islámica que se determina por la ascendencia o el origen nacional, sobre la base de este método, en lugar de por la fe religiosa.
Esto debe tenerse en cuenta antes de sacar conclusiones a partir de las estadísticas de que vamos a ir a presentar. Propiamente hablando, vamos a hablar de los marroquíes, argelinos, senegaleses, paquistaníes, etc, y no acerca de los musulmanes.
Si tomamos las estadísticas de la población española y extranjera viene, ni serán nacionales de los países con una población de mayoría musulmana (donde la población musulmana se estima en más del 50% de la población total según el Foro Pew sobre Religión y Vida Pública ), obtenemos las siguientes cifras:
| País de origen |
Extranjeros |
Español |
Total |
% De la población total «musulmán» en España |
| Marruecos |
710401 |
109561 |
819962 |
71.28 |
| Senegal |
56048 |
1896 |
57944 |
5.04 |
| Argelia |
55624 |
6110 |
61734 |
5.37 |
| Pakistán |
53691 |
1941 |
55632 |
4.84 |
| Nigeria |
41750 |
675 |
42425 |
3.69 |
| Malí |
22860 |
132 |
22992 |
2 |
| Gambia |
21288 |
1303 |
22591 |
1.96 |
| Guinea |
11802 |
1945 |
13747 |
1.2 |
| Mauritania |
11343 |
526 |
11869 |
1.03 |
| Bangladesh |
9396 |
190 |
9586 |
0.83 |
| Egipto |
2945 |
957 |
3902 |
0.34 |
| Irán |
2518 |
1608 |
4126 |
0.36 |
| Siria |
2380 |
2528 |
4908 |
0.43 |
| Turquía |
2357 |
463 |
2820 |
0.25 |
| Túnez |
1858 |
476 |
2334 |
0.2 |
| Albania |
1695 |
157 |
1852 |
0.16 |
| Líbano |
1400 |
1497 |
2897 |
0.25 |
| Indonesia |
1302 |
208 |
1510 |
0.13 |
| Jordania |
1113 |
1225 |
2338 |
0.2 |
| Irak |
1011 |
520 |
1531 |
0.13 |
| Burkina Faso |
990 |
66 |
1056 |
0.09 |
| Sierra Leona |
974 |
115 |
1089 |
0.09 |
| Kazajstán |
748 |
222 |
970 |
0.08 |
| Arabia Saudita |
279 |
194 |
473 |
0.04 |
| Total |
1015.773 |
134515 |
1150.288 |
|
* Fuente: Instituto Nacional de Estadística (INE: http://www.ine.es ). Padrón Municipal, 1 de enero de 2009. Compilado por Fernando Bravo.
Como se observa en la tabla, hablando de «los musulmanes» en España significa hablar sobre todo acerca de los marroquíes.
Además de esa cifra, el número de conversos es incierto porque no hay una fuente confiable. pero ciertamente son una minoría en comparación con los marroquíes, argelinos, senegaleses, o pakistaníes.
Podríamos concluir que la población total «musulmán» en España podría estar acercándose a 1.200.000, lo que representa el 2,5% de la población total en España (46.661.950 el 1 de enero 2009, según el Padrón Municipal INE). Pero debemos recordar que esta forma de proceder tiene muchos problemas. Por ejemplo, si bien existe una importante cantidad de nigerianos y aunque los hemos incluido en la tabla, se debe tener en cuenta que la población musulmana en Nigeria se estima en el 50,4% de la población total, por lo que existe una alta probabilidad de que el población nigeriana en España podría ser cristiano. Por lo tanto, podríamos decir que millón sería una estimación muy generosa del número de musulmanes en España.
Casi el 90% de la población total «musulmán» se compone de ciudadanos extranjeros. De éstos, los marroquíes, argelinos, senegaleses y pakistaníes juntos constituyen el 86% del total. Por esta razón, sólo hablaremos de los marroquíes, senegaleses, argelinos y paquistaníes a fin de hacer una aproximación al perfil demográfico de la población «musulmán».
Todos estos cuatro comunidades muestran una tendencia similar en su evolución cuantitativa. Aunque la comunidad marroquí es mucho más grande que el resto, todos ellos han estado creciendo rápidamente desde mediados de la década de 1990.


Las cifras que hemos mostrado hasta ahora provienen del Padrón Municipal, que recoge los datos, que incluye a todos los residentes en cada municipio, independientemente de su estatus legal (inmigrantes regulares e irregulares por igual). Pero, al contrario de lo que comúnmente se piensa, la inmigración «musulmána» en España muestra un alto porcentaje de la legalidad. Desde el año 1996 el porcentaje de la legalidad entre los inmigrantes marroquíes siempre ha sido superior a 74% y es actualmente el más alto entre las diferentes comunidades de inmigrantes, cualquiera que sea su origen. En el siguiente gráfico se comparan las cifras de los marroquíes en España que ofrece el Padrón Municipal con los de los inmigrantes marroquíes con permiso de residencia:

Para el resto de las cuatro comunidades principales, el porcentaje de la legalidad a veces ha sido menor, pero nunca menos de 50%.
La distribución espacial de los «musulmanes» en España no es homogénea. Las cuatro provincias de Cataluña, especialmente en Barcelona (ver mapa de referencia), y las provincias de Madrid, Almería, Murcia, y las tres provincias de la Comunidad Autónoma de Valencia se concentran la mayoría de la población. Pero todas las provincias de España tienen una población «musulmána», nunca inferior a 500 «musulmanes».
Los marroquíes viven principalmente en Cataluña, específicamente en la provincia de Barcelona-donde más del 30% de la población total del marroquí en directo; sino también en Andalucía, principalmente en la provincia de Almería-Madrid, en la Comunidad Autónoma de Valencia-sobre todo en la provincia de Alicante y en Murcia.

Más del 30% de los argelinos viven en la Región Autónoma de Valencia – en las provincias de Alicante y Valencia, especialmente. Cataluña, Andalucía y Aragón tienen también una alta cantidad de argelinos, pero mucho menos de Valencia.
Cataluña también es el principal destino para la liquidación pakistaní (mucho más que en cualquier otro lugar), con más del 60% de la población total de Pakistán que residen allí.
Y, finalmente, Cataluña también tiene la mayor población de Senegal (33% de la población total), seguida de Andalucía, Comunidad Valenciana y Madrid.
Cataluña, por tanto, es el centro principal de la solución de «musulmán» en España, especialmente la provincia de Barcelona con una población conjunta de los marroquíes, argelinos, senegaleses y paquistaní de 178.476 personas, que representan el 15% de la población total «musulmán» en España.
En las grandes ciudades la población «musulmána» representa un porcentaje relativamente pequeño de la población total. En Barcelona, la ciudad con la mayor población residente «musulmána» (marroquíes, argelinos, senegaleses y pakistaníes número 30.814), que representan un 1,9% de la población total. Sin embargo, en la pequeña localidad de Manlleu (también en la provincia de Barcelona), que representan un 16,8% de la población total (20.505). Esta tendencia se puede observar en el resto de España. Tenemos Madrid con 0,9% de la población «musulmán», pero también tenemos Humanes de Madrid (un pequeño pueblo cerca de Madrid), con el 5,04% de la población «musulmán». Siempre encontramos la mayor concentración de población «musulmána» en aldeas agrarias como Talayuela (en la provincia de Cáceres, con 9.282 habitantes), con el 25,8% de la población «musulmána», o pequeñas ciudades como El Ejido (con una economía eminentemente agraria, en la provincia de Almería) con una población de 80.987 habitantes en la que la población «musulmán» representa el 19,5% de la población total.
En las grandes ciudades como Barcelona o Madrid, la concentración en determinados barrios es más alto, pero nunca tan alto. En Madrid, por ejemplo, nos encontramos con la mayor concentración en el barrio de Embajadores (en el centro de la ciudad, con una población total de 49.754 habitantes), con 9.61% de la población «musulmán» (y, por cierto, una comunidad muy importante de los bengalíes) . La población «musulmán» en las grandes ciudades tiende a concentrarse en los barrios desfavorecidos, con una larga historia de la inmigración (nacional e internacional por igual). En este caso, la concentración de población inmigrante (de cualquier origen) suele ser muy alta, lo que supone un fuerte carácter multicultural.
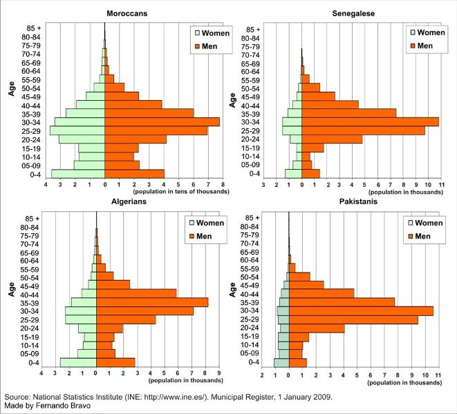
Marroquíes, argelinos, senegaleses y pakistaníes, todos muestran muy diferente distribución por edad y sexo, debido a su diferente historia de la inmigración. La comunidad marroquí es la comunidad más tradicional de los inmigrantes en España como consecuencia de las cuales tiene un carácter más femenino que las otras:

El resto, senegaleses, argelinos y paquistaníes, muestran las pirámides típicas de las comunidades de inmigrantes recientes: principalmente los hombres en edad de trabajar. La pirámide de Marruecos todavía tiene ese perfil, pero también tiene un alto número de mujeres y niños. También muestra la existencia de una pequeña cantidad de ancianos, totalmente ausentes en las otras tres comunidades. En el caso de Marruecos, lo que refleja la formación de la familia y la estabilización de la comunidad.
Mercado de trabajo
Es la comunidad marroquí que cuenta con mayor número de trabajadores afiliados a la Seguridad Social [que viven de la asistencia social] que cualquier otra comunidad de inmigrantes: 238.048 (más de los 227.690 rumanos). Eso significa que el 33,5% de la población total de Marruecos está afiliado a la Seguridad Social, una tasa ligeramente inferior a la tasa media de la población total (38% afiliado).
Argelinos y senegaleses muestran una tasa aún más baja de la afiliación (29% y 28% respectivamente), pero los paquistaníes muestran una tasa similar a la de los marroquíes (33,8%).
La gran mayoría de los trabajadores «musulmanes» afiliados a la Seguridad Social son empleados. Sólo una pequeña minoría de los afiliados son trabajadores por cuenta propia (5,9% de los senegaleses, el 6,3% de los argelinos y el 6,9% de los marroquíes). Sólo paquistaníes muestran una imagen diferente, porque el 15,3% de ellos son trabajadores por cuenta propia.
El principal sector de empleo es el de servicios. El sector de la construcción ha sido tradicionalmente una fuente importante de empleo para los inmigrantes, y todavía lo es, pero su importancia ha disminuido en gran medida debido a la actual crisis del mercado de vivienda. Esta crisis ha afectado en gran medida los inmigrantes, de todos los orígenes. En el caso de los marroquíes, argelinos, paquistaníes y senegaleses, su tasa de afiliación a la Seguridad Social se ha reducido desde 2007, como podemos ver en las siguientes tablas:
«musulmanes» afiliados a la Seguridad Social por sectores de empleo
| 2007 |
Agricultura |
Construcción |
Industria |
Servicios |
Total |
| Argelinos |
182 |
3640 |
2495 |
6888 |
13205 |
| Los marroquíes |
3251 |
66894 |
22413 |
77720 |
170278 |
| Senegalés |
244 |
4523 |
3147 |
6526 |
14440 |
| Paquistaníes |
91 |
4601 |
1683 |
9106 |
15481 |
| 2008 |
Agricultura |
Construcción |
Industria |
Servicios |
Total |
| Argelinos |
202 |
1752 |
2050 |
6012 |
10016 |
| Los marroquíes |
3348 |
38434 |
18894 |
76422 |
137098 |
| Senegalés |
268 |
2145 |
2528 |
5827 |
10768 |
| Paquistaníes |
63 |
2694 |
1335 |
8689 |
12781 |
Fuente: Anuario Estadístico de Inmigración, 2007 y 2008, Secretaría de Estado de Inmigración y Emigración, Ministerio de Trabajo e Inmigración. Compilado por Fernando Bravo.
De hecho, la actual crisis financiera ha afectado a los «musulmanes» de trabajo en todos los sectores. Su presencia en los servicios, la industria y la construcción ha disminuido en los últimos dos años. Pero, al mismo tiempo, la presencia de marroquíes, argelinos y senegaleses en la agricultura ha aumentado un poco, posiblemente a causa de haber transferido de otros sectores.
Dentro del sector servicios, los marroquíes se emplean preferentemente en el sub-sector del comercio (22.498), y el subsector de la industria de la hospitalidad (22.127). Por otra parte, en el sector de la industria que están especialmente concentradas en el subsector de la industria manufacturera (18.528).
En el caso de los argelinos, también están especialmente concentradas en el sector servicios y, dentro de ella, en el subsector de mercado de bienes raíces (1840) y el sub-sector del comercio (1509). Pero entre los subsectores, el donde se emplean la mayoría de los argelinos es la industria manufacturera (2017).
Senegal también se concentran en el subsector de la industria manufacturera (2502). Dentro del sector servicios, de Senegal están empleados en el subsector de estado real del mercado (1631) y el sub-sector del comercio (1531).
Por último, los paquistaníes se emplean especialmente en la industria de la hospitalidad (3752) y el comercio (1920) subsectores.
Además de estas cifras, también tenemos que tener en cuenta que puede haber una proporción relativamente alta de los inmigrantes que trabajan en el «sector informal», pero no tenemos ninguna base sobre la cual basar las especulaciones al respecto.
Viviendas
No hay datos relativos a la vivienda de la población «musulmán» específicamente. Sólo podemos inferir su situación desde la situación general de la población inmigrante, según una encuesta publicada.
Según el Colectivo Ioé, el 87% de la población inmigrante de Europa del Este, África y América del Sur vive en una vivienda alquilada. En otras palabras, el 13% restante son dueños de casa. De este 87%, el 30% alquila una casa entera, mientras que el 47% vive en casas subarrendados, en el que sólo se alquilan una habitación o compartir el alquiler con otras personas. Este es el caso especialmente para los recién llegados.
Es interesante notar que, de acuerdo con la encuesta anterior, una mayoría de los encuestados piensa que la casa que dejaron en sus países de origen es más grande (84%), más cómodo (81%), y más tranquila (72%), que la casa en la que viven ahora.
La concentración de población inmigrante por barrio depende de la situación económica del barrio. En los barrios más ricos inmigrantes son poco presentes. Sin embargo, en los barrios más pobres de su concentración es muy alta.
Educación
La presencia de «musulmanes» en el sistema educativo es alto. El marroquí es la comunidad más grande de inmigrantes en el sistema educativo, sobre todo en la enseñanza preescolar y primaria, donde los marroquíes representan el 22% y el 16,4% de la población total de inmigrantes en ambos niveles educativos. Sin embargo, la situación es diferente en cuanto a la educación secundaria, donde los marroquíes representan la segunda mayor comunidad de inmigrantes (12,6%) después de los ecuatorianos (17,2% de la población total de inmigrantes en la educación secundaria). La situación es aún más alarmante en el nivel de Bachillerato, donde los marroquíes sólo representará a la Comunidad en el cuarto más grande con el 5,4% de la población total de inmigrantes, después de los ecuatorianos (15,4%), los colombianos (9,5%), los rumanos (8,8%) y argentinos ( 6%). En el ámbito de la formación profesional, la situación es un poco mejor: Los marroquíes son la tercera comunidad más grande (11,3%), después de los ecuatorianos (15,6%) y los colombianos (11,4%). En el Programa de Garantía Social (un programa de formación profesional diseñado para las personas que han completado su educación secundaria sin lograr los objetivos académicos correspondientes a ese nivel), los marroquíes tienen el mayor porcentaje (29,5%), lejos del 16,8% de los ecuatorianos. Por lo tanto, mientras que los marroquíes y los ecuatorianos tienen una población similar en el sistema educativo, los marroquíes están en peores condiciones una vez que pasan el nivel de educación primaria.
«musulmanes» en el sistema educativo
(no universitaria. En comparación con otras comunidades)
|
TOTALES |
Infancia |
Primario |
Especial |
Secundario |
Bachillerato |
FP * |
Prog.GS ** |
Artístico |
Idiomas |
Deporte |
| Total |
702392 |
119980 |
295477 |
2838 |
199548 |
28294 |
27683 |
7535 |
3562 |
17432 |
43 |
| Argelia |
5401 |
1492 |
2050 |
24 |
1292 |
161 |
182 |
82 |
10 |
108 |
0 |
| Marruecos |
108731 |
26440 |
48568 |
684 |
25247 |
1547 |
3142 |
2229 |
58 |
814 |
2 |
| Senegal |
3019 |
904 |
1056 |
14 |
724 |
34 |
103 |
159 |
0 |
25 |
0 |
| Pakistán |
3646 |
692 |
1600 |
41 |
1086 |
91 |
93 |
21 |
2 |
20 |
0 |
| Rumania |
76256 |
16345 |
35238 |
191 |
18909 |
2503 |
1686 |
571 |
293 |
519 |
1 |
| Argentina |
31788 |
3965 |
14205 |
104 |
8669 |
1740 |
1496 |
108 |
348 |
1141 |
12 |
| Bolivia |
34589 |
6399 |
16742 |
149 |
8871 |
853 |
997 |
324 |
28 |
226 |
0 |
| Colombia |
54915 |
4064 |
21093 |
189 |
21321 |
2689 |
3168 |
763 |
304 |
1320 |
4 |
| Ecuador |
101940 |
11595 |
44718 |
478 |
34332 |
4294 |
4318 |
1270 |
274 |
657 |
4 |
| China |
17942 |
3443 |
6534 |
34 |
5957 |
681 |
231 |
39 |
50 |
973 |
0 |
Fuente: Estadísticas Enseñanzas no Universitarias – Resultados Detallados – Curso 2007-2008, Ministerio de Educación, http://www.educacion.es/ . Compilado por Fernando Bravo.
NOTA: Me es imposible reducir este cuadro para que entre bien en el post, para verlo bien, ir al post original (en idioma inglés).
* FP: Formación Profesional (formación profesional).
** Prog. GS: Programa de Garantía Social.
El resto de las comunidades «musulmanes» están escasamente representados en el sistema educativo, ya que, como hemos visto antes, la población de menores de 16 años de edad es muy pequeña. Los senegaleses, a pesar de tener una población más pequeña dentro del sistema educativo que el de los argelinos, argentinos, chinos y paquistaníes, representan un mayor porcentaje de la población inmigrante en el Programa de Garantía Social.
Además de las cifras que se muestran, se puede decir que la gran mayoría de la población inmigrante (incluyendo, por supuesto, los «musulmanes») asisten a escuelas públicas (82,7%), las escuelas públicas que representa el 73% del número total de escuelas en España .
Estado e Iglesia
Legalmente hablando, España es neutral vis-à-vis las confesiones religiosas. Su Constitución de 1978 establece que «ninguna confesión tendrá carácter estatal. Los poderes públicos tendrán en cuenta las creencias de la sociedad española y mantendrán las consiguientes relaciones de cooperación con la Iglesia Católica y las demás confesiones «(art. 16.3).
También se afirma que «la libertad ideológica, religiosa y de culto está garantizada, a los individuos y las comunidades sin más limitación, en sus manifestaciones, que la necesaria para el mantenimiento del orden público protegido por la ley» (art. 16.1). Así que España es constitucionalmente un Estado laico en el que la libertad de religión y de pensamiento es a la vez reconocido y protegido.
Además de lo que estipula la constitución, en 1980 se aprobó una Ley de Libertad Religiosa.La Ley de Libertad Religiosa se desarrolla lo que la Constitución ya lo dice. En ella se estipula, por ejemplo, la necesidad de que las comunidades religiosas se registren en el Ministerio de Registro de Entidades Religiosas de Justicia con el fin de ser reconocidos por el Estado como entidades con «personalidad jurídica». Entre otras cosas, siguiendo el mandato constitucional de «mantener una cooperación adecuada» con las confesiones religiosas, también se estableció que el Estado «debe establecer, según proceda, los acuerdos de cooperación apropiados o convenios con las Iglesias, Confesiones o Comunidades religiosas inscritas en el Registro cuando se justifique por su influencia notoria en la sociedad española, debido a su dominio o número de seguidores «(artículo 7.1).
Esta «influencia notoria» es lo que en el texto original se llama «notorio arraigo». «Notorio arraigo» es un estatuto otorgado por el Estado a una confesión religiosa que reconoce que está muy arraigada en España. Se trata de un artificio legal que, en la práctica, discrimina algunas religiones en su relación con el Estado. Su falta de reconocimiento por parte del Estado les impide disfrutar de los «mismos beneficios y privilegios que los otros grupos con» notorio arraigo ‘».
En otras palabras, es solamente las confesiones con «notorio arraigo» que puede firmar un acuerdo de cooperación con el Estado. En la práctica sólo cuatro confesiones han hecho: la Iglesia Católica, la Comisión Islámica de España (CIE), la Federación de Comunidades Judías de España (FCJE), y la Federación de Entidades Religiosas Evangélicas de España (FEREDE). La Iglesia Católica firmó el acuerdo en 1979, otros en 1992.
No existe un convenio de cooperación para las otras confesiones, aunque algunos de ellos han sido reconocidos por el Estado como las religiones con «notorio arraigo». Por ejemplo, la Iglesia de Jesucristo de los Santos de los Últimos Días (en 2003), los Testigos de Jehová y los budistas (en 2007), han ganado el reconocimiento como confesiones con «notorio arraigo», pero no han firmado un acuerdo de cooperación con el Estado similar a la de los musulmanes, Judios y evangélicos. Eso convierte su reconocimiento como confesión de «notorio arraigo» en letra muerta. Además, las confesiones que no han ganado el reconocimiento como confesiones con «notorio arraigo» se encuentran en una situación aún peor de desventaja.
Sin embargo, ni el reconocimiento de «notorio arraigo», ni el establecimiento de un acuerdo de cooperación con el Estado garantiza la cooperación real, ni siquiera el reconocimiento práctico de los derechos que los acuerdos estipulan. No fue sino hasta recientemente que los principales artículos de los acuerdos de cooperación se pusieron en práctica y la verdadera cooperación entre el Estado y la musulmana, evangélica y judía comenzaron.
En todo caso, la Iglesia Católica siempre ha recibido un trato preferencial a manos del Estado. En el ámbito simbólico, en particular, el catolicismo tiene una fuerte presencia.Instituciones como la Corona, algunos ayuntamientos, algunas escuelas públicas, o de algunos hospitales públicos, a pesar de que son las instituciones del Estado ya pesar de la neutralidad que manda la Constitución, se identifican públicamente con el catolicismo y sus símbolos. La presencia de clérigos católicos (y los clérigos católicos solamente) en actos institucionales, así como la presencia de representantes de las instituciones del Estado en las ceremonias católicas (y en las ceremonias católicas solamente) es un lugar común.
Musulmanes en Política
La presencia de los musulmanes en la política es muy pequeña. Hay un miembro del Parlamento de Cataluña, miembro del Partido Socialista, Mohammed Chaib. Hay concejales de la ciudad en la Asamblea de la Ciudad Autónoma de Ceuta, tanto en el Partido Socialista y el Partido Popular, y también en la Asamblea de la Ciudad Autónoma de Melilla. También hay un concejal de la ciudad musulmana (miembro de la popular Parte) en un pequeño pueblo de Sevilla:. Gines
En octubre 2099 el primer partido islámico de España fue creado en Granada:
el Partido del Renacimiento y Unión de España (PRUNE). Después de su creación,
el partido se abrió delegaciones en otros puntos de España, pero tiene muy
pocos partidarios. Su importancia dentro de la comunidad islámica en España es
insignificante.
Organizaciones musulmanas
Las primeras organizaciones musulmanas fueron creados en las ciudades de Ceuta y Melilla (las ciudades autónomas españolas en el norte de África). El primero que se registró en el Ministerio del Registro de Entidades Religiosas de Justicia fue la Asociación Musulmana de Melilla en 1968 (a la derecha después de la promulgación de la Ley de Libertad Religiosa franquista de 1967). Poco después, en 1971, el Mohamadia-musulmán Mahoma Zawiya de Ceuta también registró.
Por otro lado, un poco antes, el Jamaat Ahmadia del Islam en España fue creado en Pedro Abad, en la provincia de Córdoba (Andalucía), seguido por la creación de un año después, en Madrid de la Asociación Musulmana de España (AME). Ambas asociaciones fueron fundadas por los estudiantes que habían llegado a España en los años 1960 y 1970 de Líbano, Siria, Palestina, Jordania y Egipto, como consecuencia de la política de acercamiento entre el franquismo y los países de Oriente Medio durante ese período.
Más tarde, tras la muerte de Franco y la instauración de la democracia, pero un año antes de la promulgación de la Ley de Libertad Religiosa de 1980, la comunidad musulmana de España fue registrada en el Ministerio del Registro de Justicia. Esta asociación fue creada en Madrid y fue dirigido por Álvaro Machordom Comins.
Justo después de la promulgación de la Ley de Libertad Religiosa, nuevas asociaciones musulmanas llegaron a existir. Un buen número de ellos fueron guiados y compuesta por los conversos que han jugado un papel importante durante los primeros años del proceso de institucionalización del Islam en España. Sin embargo, ya en la década de 1980 algunas asociaciones formadas por las comunidades de inmigrantes comenzó a ser organizado. Es el caso, entre otros, de la Asociación Musulmana Autónoma de Jaén y provincia, inscrita en el Registro del Ministerio en 1983, con sede en la ciudad de Linares y creada por inmigrantes paquistaníes que trabajan en la industria minera.
Después de la promulgación de la Ley de Libertad Religiosa, los primeros pasos con vistas a la firma de acuerdos de cooperación entre el Estado español y las confesiones judías, evangélicas y musulmanas.
La primera condición requerida por la ley con el fin de firmar este tipo de acuerdos es que esas confesiones tenían el reconocimiento de «notorio arraigo». En el caso del Islam, la Comisión Asesora de Libertad Religiosa aprobó el reconocimiento del Islam como una confesión muy arraigado el 14 de julio de 1989. Para entonces, los protestantes y los Judios ya habían logrado este estatus.
Pero la firma de los acuerdos era sujeto a la existencia de un único representante del islam en España, un requisito exigido por el gobierno español. Con este fin, días antes de que el reconocimiento del Islam como una confesión de «notorio arraigo» en España, se creó la Federación Española de Entidades Religiosas Islámica (FEERI). Fue compuesto originalmente por nueve asociaciones religiosas islámicas con sede en Madrid, Granada, Sevilla, Almería, Ceuta y Melilla.
Unos meses después, la Asociación Musulmana de España (la misma asociación que en abril de 1989 se había presentado una solicitud oficial al Gobierno para el reconocimiento del Islam como una confesión de «notorio arraigo») creó la Unión de Comunidades Islámicas de España (UCIDE ).
La insistencia del Estado en la presencia de un único interlocutor junto con la falta de armonía entre las dos federaciones (FEERI y UCIDE)-algo que continúa en la actualidad-, se tradujo en la necesidad de crear una Comisión Islámica de España (CIE) como interlocutor con el Estado. Las dos federaciones se mantuvieron como entidades independientes dentro de la CIE y los principales puestos de la Comisión se distribuyeron por igual entre ellos. Hay, pues, dos secretarios generales, uno para cada federación, y cuatro altavoces, dos de cada una de las Federaciones. De hecho, las dos federaciones funcionan de forma independiente y el CIE se reúne sólo cuando se necesita el diálogo con el Estado.
En abril de 1992, se firmó el acuerdo de cooperación entre el Estado Español y la Comisión Islámica de España, pero hasta hace poco no se ha puesto en práctica. Islam no era un problema para preocuparse. Los atentados del 11 de marzo 2004 fue, paradójicamente, el incentivo para que el Estado tenga un mayor grado de cooperación con la comunidad islámica en España. La convicción de que los atentados fueron inspirados por algún imán radical incontrolado de alguna mezquita «clandestina» empujó al Gobierno que inicie una nueva política en relación con la comunidad islámica.
Pronto quedó claro que el Registro de Entidades Religiosas del Ministerio de Justicia era ineficiente en términos de proporcionar una imagen clara de la cantidad de mezquitas en España y su ubicación (porque el registro no es obligatorio, ni en la actualización de datos).Así, con el fin de fomentar la inscripción de mezquitas y asociaciones religiosas en el Registro, el Gobierno inició una política de financiación de los proyectos realizados por las comunidades religiosas (no sólo islámicos, pero ninguna comunidad religiosa afiliada a ninguna de las Federaciones que han firmado un acuerdo de cooperación con el Estado).Con el fin de alcanzar ese objetivo, el Gobierno creó la Fundación Pluralismo y Convivencia [Fundación Pluralismo y Convivencia]. Ahora los proyectos de los fondos estatales aplicados por las comunidades religiosas individuales, lo que en cierta medida remediar su situación de desventaja con respecto a la situación de privilegio de la Iglesia Católica, que recibe fondos del estado directamente (no vinculado a la ejecución de cualquier proyecto específico).
El resultado de todo lo que ha habido un aumento importante en el número de «entidades» islámicas registradas en la Secretaría del Ministerio (ver mapas). Así que, si bien ha habido un cambio importante en los últimos años, se ha producido principalmente como consecuencia de los problemas de seguridad, y sólo secundariamente para reparar la discriminación que las minorías han sufrido en España.
Durante estos años en los que el Estado ha buscado un diálogo más frecuente con los representantes de la comunidad musulmana en España, la falta de representatividad de la Comisión Islámica de España (CIE) ha quedado claro. Las comunidades que se sienten insatisfechos con la gestión de el CIE, o no se sienten representados por él, han empezado a crear sus propias federaciones, algunas de ellas con un marcado carácter regional. En diciembre de 2009, un total de 23 Entidades Federativas islámica fueron registrados en el Registro de Entidades Religiosas del Ministerio de Justicia. Además FEERI, UCIDE, y la propia CIE, así como las 10 federaciones regionales que UCIDE ha creado en los últimos años (en Ceuta, Aragón, Valencia, Madrid, País Vasco, Extremadura, Murcia, Cataluña, Castilla y León y en Castilla -La Mancha), las siguientes federaciones están registrados: Comisión Islámica de Melilla, Consejo Islámico de Valencia, Federación Islámica de la Comunidad Autónoma de las Islas Baleares, la Federación Musulmana de España (FEME), Federación Islámica de Murcia, Consejo Superior Islámico de la Comunidad Autónoma de Valencia (CISCOVA), Federación de Comunidades musulmanas de Castilla-La Mancha, Español Federación Islámica de Cataluña (FICDE), y la Federación de más reciente creación de subsaharianos comunidades musulmanas para el Diálogo, Cultura y Derechos (FEDICD), y el Centro Islámico de Cataluña.
Con la excepción de la Comisión Islámica de Melilla, creado en 1989 y compuesto por cuatro comunidades (Asociación musulmana religiosa, del Consejo Religioso Musulmán, Comunidad Musulmana de Melilla y la Asociación Badr), todas estas asociaciones fueron hechas después de 2005 (sobre todo en 2008 y 2009 ). La creación de estas federaciones se explica principalmente por la falta de representatividad de FEERI y UCIDE y su inoperancia en busca de un mejor diálogo con las administraciones regionales. Entre las razones que han llevado a la creación de estas nuevas federaciones de la existencia de diferentes posiciones ideológicas no pueden ser ignorados.
A finales de 2006 se creó la Plataforma de Federaciones Islámicas de España, como el producto de la unión de cinco de las federaciones mencionadas. La Plataforma pretende acabar con el dominio que FEERI y UCIDE ejercen sobre el CIE. Con el fin de alcanzar ese objetivo, la Plataforma ha propuesto el cambio de los estatutos de la CIE, con el fin de permitir que nuevos actores se unan. Ese factor ha hecho que el funcionamiento de la CIE cada vez más difícil, más aún desde FEERI está inmerso en una crisis interna desde 2000. Las cinco federaciones que integran la Plataforma son la Federación Islámica de Murcia, Federación Española Islámica de Cataluña, el Consejo Superior Islámico de la Comunidad Autónoma de Valencia, la Federación Musulmana de España, y de la Federación Islámica de la Comunidad Autónoma de las Islas Baleares.
Como FEERI y UCIDE no pudieron llegar a un acuerdo para permitir que otras comunidades islámicas a unirse a la Comisión Islámica de España (CIE), en abril de 2011 representantes de 870 asociaciones musulmanas decidieron crear el Consejo Islámico de España, que incluyó aquellas comunidades sin representación en la CIE. El nuevo Consejo Islámico incluyó casi el 93% de las 916 entidades religiosas islámicas registradas en el Ministerio de Justicia.
El nuevo Consejo Islámico incluía un consejo de administración formado por el Presidente de la UCIDE, Riay Tatary; 3 miembros de la Federación Musulmana de España (FEME); el Vicepresidente de la Federación Islámica de Murcia, Benjelloun Munir; y el jefe del Centro Cultural Islámico de Valencia, Amparo Sánchez.
Educación Islámica
El Acuerdo de Cooperación entre el Estado Español y la Comisión Islámica de España estados (al igual que los acuerdos con los Judios y evangélicos) que, como la Ley de Educación incluye el derecho de tener acceso a la educación religiosa en las escuelas públicas y concertadas-privada, islámica la religión debe ser enseñada en que los padres lo piden (artículo 10).
El Acuerdo también establece que la religión islámica será impartida por profesores designados por las comunidades pertenecientes a la Comisión Islámica. Los contenidos de la materia, así como los libros de texto serán también elegidos por las comunidades pertenecientes a la Comisión Islámica.
También se afirma que la Comisión Islámica podría crear sus propias escuelas, así como universidades y centros de formación islámicos.
Sin embargo, el acuerdo no se ha aplicado en un grado significativo. Islam se enseña en algunas escuelas. Por ejemplo, en Cataluña y en Madrid, donde la mayoría de la población musulmana vive, no hay un solo profesor de Islam.
Como podemos ver en la siguiente tabla, la enseñanza de las lecciones islámicas religión en las escuelas españolas es prácticamente inexistente.
| Región |
Primario |
Secundario |
| ANDALUCÍA |
16 |
No Data |
| ARAGON |
3 |
0 |
| ASTURIAS |
0 |
0 |
| BALEARES |
0 |
0 |
| PAÍS VASCO |
1 |
0 |
| ISLAS CANARIAS |
1 |
0 |
| CANTABRIA |
0 |
0 |
| CASTILLA-LA MANCHA |
0 |
0 |
| CASTILLA Y LEÓN |
No Data |
No Data |
| CATALUÑA |
No Data |
No Data |
| EXTREMADURA |
0 |
0 |
| GALICIA |
0 |
0 |
| MADRID |
0 |
0 |
| MURCIA |
0 |
0 |
| NAVARRA |
No Data |
0 |
| LA RIOJA |
0 |
0 |
| VALENCIA |
0 |
0 |
| CEUTA |
13 |
0 |
| MELILLA |
11 |
0 |
Fuente: Ministerio de Educación y las distintas comunidades autónomas con competencias en materia de educación. Deseo agradecer a la Fundación Pluralismo y Convivencia por darme esta tabla.
El Ministerio de Justicia, a través de la Fundación Pluralismo y Convivencia, ha tratado de facilitar el desarrollo de este derecho mediante la estimulación de la publicación de dos libros de texto de religión islámica para primaria:. Descubrir el islam 1 y 2 Ambos libros han sido escritos bajo la supervisión de la Comisión Islámica.
Seguridad y Anti-Terrorismo Cuestiones
A pesar de los terribles atentados del 11 de marzo de 2004 (11-M), España no ha introducido una nueva legislación anti-terrorista. Sin embargo, un gran número de presuntos terroristas han sido arrestados y encarcelados.
El ensayo más importante de yihadistas targetted los implicados en los atentados del 11-M.
El juicio de los 28 acusados duró 4 meses. Finalmente, el juez condenó a 3 de los 8 acusados principales a penas de prisión de entre 35.000 y 40.000 años. El resto recibió penas mucho más bajas.
También ha habido un juicio contra una célula terrorista vinculado a Al Qaeda con los atentados del 9/11. En este juicio, el acusado «Abu Dahdah», fue sentenciado a 27 años de prisión.
Otros ensayos se han realizado contra las células terroristas o células terroristas supuestos. En 2007 la Audiencia Nacional española (Audiencia Nacional) condenado a 5 miembros del llamado «comando Dixan» a 13 años de prisión. Recientemente, 10 paquistaníes y un indio fueron condenados a penas de prisión de hasta 14 años después de haber sido encontrado culpable de la planificación bombardear el metro de Barcelona.
Según una estimación, casi el 50% de los acusados de pertenecer a células yihadistas en España se han encontrado no culpable. 89 personas han sido juzgadas desde 2005 por la Audiencia Nacional española, de los cuales 42 fueron absueltos. Del mismo modo, las sentencias definitivas impuestas siempre han sido menos graves que las penas solicitadas por el fiscal.
Como vimos anteriormente, la preocupación por el terrorismo y la seguridad también ha guiado a la aplicación de medidas para mejorar las relaciones entre las comunidades estatales y musulmanes. Esta política ha allanado el camino para un diálogo más fluido entre los representantes del Estado y los de las comunidades musulmanas. También dio lugar a la aplicación de los Acuerdos de Cooperación.
Mezquitas
En mayo de 2004 había 235 entidades religiosas musulmanas registradas en el Ministerio de Registro de Entidades Religiosas de Justicia. A finales de 2008 había 641. Esto no quiere decir que eran todos fueron creados en esos cuatro años. Muchos eran, pero muchos otros se habían creado antes. La nueva política de cooperación entre el Estado y las comunidades musulmanas a través de la Fundación Pluralismo y Convivencia ha generado un mayor interés en registrarse en el Registro del Ministerio.
Según los Acuerdos de Cooperación entre el Estado Español y la Comisión Islámica de España, mezquitas son espacios inviolables (artículo 2.2) y no pueden ser expropiadas por la fuerza sin que la Comisión Islámica de ser escuchada. Además, no podrán ser demolidos sin su carácter santo está quitando previamente, y sus archivos y documentos están protegidos por la ley.
Las Mezquitas en España son espacios predominantemente pequeños. Por lo general, se encuentran en garajes o almacenes en las afueras de las ciudades, porque las comunidades no encuentran fácilmente lugares mejores o porque las autoridades y / o locales y los vecinos se oponen a que las mezquitas están abiertas en los centros urbanos.
Hay muy pocas grandes mezquitas de nueva construcción en España, sólo cuatro: dos en Madrid (Mezquita de Abu Bakr y el Centro Cultural Islámico de Madrid), uno en Valencia (Centro Cultural Islámico de Valencia) y otro en Granada.
Hay proyectos para la construcción de nuevos grandes mezquitas en Sevilla y Barcelona, pero todavía están en la etapa de trabajo en progreso. El proyecto de Sevilla se ha encontrado con la oposición seria a los vecinos. La oposición a la construcción y apertura de mezquitas es común en España. Ha habido casos importantes, sobre todo en Cataluña.
Recientemente (15 de julio de 2009) el Parlamento de Cataluña ha aprobado una ley que regula los lugares de culto, en un intento de resolver los problemas que las minorías religiosas (no sólo los musulmanes) se enfrentan cuando intentan abrir un nuevo lugar de culto.


Cementerios
Hay 24 lugares de enterramiento islámico en España. La mayoría (14) son espacios especiales dentro de cementerios públicos. También hay una importante proporción de los cementerios islámicos Guerra Civil, creada durante la Guerra Civil Española para enterrar a los soldados marroquíes que lucharon en el bando franquista. De los cementerios de la Guerra Civil, algunos no están en uso ya, pero otros todavía están siendo utilizados por las comunidades musulmanas en España. El cementerio de Griñón (cerca de Madrid) es uno de esos.
También hay dos cementerios islámicos privadas, obras de dos comunidades musulmanas y utilizado sólo por ellos.

El Acuerdo de Cooperación establece que los cementerios islámicos gozarán de los mismos derechos legales que las mezquitas. Comunidades musulmanas tienen derecho a un lugar especial en los cementerios públicos, así como para tener sus propios cementerios. También tienen el derecho de ser enterrados de acuerdo a los ritos funerarios islámicos (artículo 2.5).

Masacre Halal
De acuerdo con el Acuerdo de Cooperación de la Comisión Islámica de España tiene derecho a tener comida sacrificada según el rito islámico y etiquetado como «halal», pero masacre islámica debe respetar las leyes de salud pública. También se afirma que las instituciones públicas como hospitales, escuelas y el ejército deben hacer su mejor esfuerzo para proporcionar a los musulmanes con alimentos halal cuando sea necesario (artículo 14).
Aparte de lo que afirma el Acuerdo y antes de su firma, la Junta Islámica, una organización islámica se unió principalmente por conversos, crearon el Instituto Halal en 1986 para proporcionar a los musulmanes con los alimentos etiquetados como halal.
Vacaciones
El Acuerdo de Cooperación de los Estados (artículo 12) de que los miembros de las comunidades pertenecientes a la Comisión Islámica tienen el derecho de pedir a dejar de trabajar los viernes con el fin de asistir a la mezquita (13:00-18:30). También tienen el derecho de terminar el trabajo una hora antes de la puesta del sol durante el mes de Ramadán. Sin embargo, tendrán que recuperar las horas perdidas.
Si se llega a un acuerdo entre los empleados y los empleadores, los musulmanes podían sustituir las fiestas comunes entre la población no musulmana con los siguientes días festivos islámicos: Al-Hiyra (1a. Muharram), Ashura (10 de Muharram), Idu al-Maulid (12 Rabiu al-Awwal), Al-Isra wa al-Mi’ray (27 Rayab), Idu al-Fitr (primero, segundo, tercero Shawwal), Idu al-Adha (10 º, 11 º, 12 º Du Al Hyyah)
Lo mismo es cierto para los estudiantes en las escuelas públicas.
Ceuta y Melilla, las ciudades autónomas españolas en el norte de África, fueron las primeras ciudades españolas para reconocer oficialmente una celebración islámica:. El Eid al-Kabir
Como una importante comunidad chií vive en Barcelona, el Ayuntamiento también ha permitido la celebración de la Ashura con una procesión por algunas calles.
Matrimonio
Matrimonio islámico es reconocida por el Estado como legal si la novia y el novio cumplen los requisitos legales establecidos por la legislación española (Acuerdo, artículo 7).
No existen estadísticas sobre los matrimonios islámicos que tienen lugar en España, pero podemos hacer una aproximación a la cuestión al mostrar las estadísticas de matrimonios que han tenido lugar entre los españoles y los nacionales de países identificados con el Islam, y entre los nacionales de los países identificados con el Islam.
| Año 2008 |
Esposa: Marroquí |
Esposa: Español |
Esposa: Senegal |
Esposa: Argelia |
Esposa: Pakistán |
| Marido: Marroquí |
196 |
1557 |
0 |
4 |
0 |
| Marido: Español |
1012 |
x |
0 |
25 |
0 |
| Esposo: Senegal |
1 |
161 |
0 |
0 |
0 |
| Marido: Argelia |
23 |
160 |
0 |
12 |
0 |
| Marido: Pakistán |
8 |
197 |
0 |
0 |
0 |
Fuente: Instituto Nacional de Estadística (INE: http://www.ine.es ). Compilado por Fernando Bravo.
Como podemos ver, hay más matrimonios entre españoles y marroquíes que los matrimonios entre los marroquíes. Esto es una indicación de que los matrimonios de residentes marroquíes en España, probablemente, y preferiblemente se llevan a cabo en Marruecos, no en España. Probablemente lo mismo puede decirse de senegaleses, argelinos y paquistaníes.
Hijab
A diferencia de Francia, no existe una prohibición legal sobre el uso del hijab en España. Las controversias, sin embargo se han ventilado en los medios de comunicación cuando ciertas escuelas trataron de evitar que las niñas musulmanas lleven el pañuelo en la cabeza. Estos pocos casos han sido pocos y distantes entre sí.
En todo caso, el discurso de los medios en España en relación con el hiyab ha sido fuertemente influenciada por la polémica en Francia, más que por los problemas reales en España.
Recientemente polémica se desató en los medios de comunicación sobre el caso de un juez que se negó a permitir que un testigo musulmana llevar el niqab y un abogado para llevar el hijab. El caso del abogado ha sido especialmente polémica ya que ella ha apelado ante el Tribunal Superior de Justicia español con el fin de tener el derecho de usarlo durante el procedimiento.
Cobertura de los medios, intelectual y Discurso Político
[Volver al principio]
No existe un estudio exhaustivo de la cobertura de los medios de comunicación españoles del Islam y de los musulmanes, aunque existen estudios parciales que nos permite hacer una estimación de esta cobertura en los últimos años.
Si utilizamos el siguiente gráfico como una muestra de esta cobertura, podríamos concluir que el interés por el Islam y los musulmanes es relativamente reciente.
El País y ABC son dos de los principales periódicos de España. Ambos se dirigen a una amplia gama de lectores, aunque en distintos lados del espectro ideológico: liberal en el caso de El País, conservador en el caso de ABC. Diferentes como son ideológicamente, muestran una tendencia muy similar en el grado de atención que han prestado al Islam.
Las frecuencias de aparición de la palabra «Islam» en dos de los principales diarios españoles

Como podemos ver, que siempre han prestado atención al Islam, principalmente durante la crisis internacional como la revolución iraní, la guerra en la ex Yugoslavia, la guerra civil argelina, y sobre todo después del 9/11. Podemos identificar fácilmente cada crisis por los picos en la gráfica. Así que podemos llegar a las siguientes conclusiones: El Islam se asocia principalmente con la violencia, las guerras y los conflictos internacionales.
No podemos discernir cuántas noticias tratan el tema de la inmigración o de los musulmanes en España debido a la preocupación por estas cuestiones sólo se hizo realmente evidente después del 9/11. En el gráfico que se confunden fácilmente con noticias sobre, por ejemplo, el terrorismo, la guerra en Irak, etc
Antes del 9/11 los medios de comunicación prestaron poca atención al Islam. El País, como podemos ver, pagó un poco más de atención a la misma durante la guerra civil en Yugoslavia y Argelia, pero nada comparado con lo que sucedió después del 9/11. Antes de eso, el tema de «los musulmanes en España» fue tratado en el contexto de una preocupación más amplia con el tema «Inmigración». Islam todavía no era un asunto principal. La principal preocupación era la inmigración irregular y la integración de los inmigrantes. Y cuando los medios de comunicación, los políticos y los intelectuales hablaban acerca de la integración de los inmigrantes musulmanes, que casi invariablemente hablaron en términos generales acerca de su «cultura de origen», no específicamente sobre el Islam.Los objetos de preocupación eran magrebíes, y no musulmanes. Pocas personas pensaban de magrebíes como los musulmanes, sino como «moros» o moros (una categoría étnica que religiosa). Durante esos años el discurso negativo sobre la presencia de los inmigrantes magrebíes en España era parte de una reacción más amplia contra el multiculturalismo.
Sin embargo, esta actitud contra el multiculturalismo muy pronto dio lugar a una actitud negativa contra el Islam y los musulmanes, aún más después del 9/11. Pero fue sobre todo después de la publicación de La sociedad multiétnica [La Sociedad Multiétnica] a principios de 2001 por el politólogo italiano Giovanni Sartori, cuando se inició un debate nacional sobre el multiculturalismo y la integración de los musulmanes en España. Sartori argumentó en contra de la multiculturalidad y la identificó como una amenaza a la democracia. También consideró que los Estados europeos deben discriminar a los inmigrantes sobre la base de su «cultura de origen» y dar preferencia a la llegada de los inmigrantes con una cultura similar a la del país de acogida. Según Sartori, la entrada de inmigrantes musulmanes se debe evitar porque era tan difícil integrarlos.
El libro fue discutido ampliamente en los periódicos y fuertemente influenciado políticos, especialmente-pero no sólo-en el Partido Popular, entonces en el poder. Por ejemplo, Enrique Fernández Miranda, que en aquellos días era la secretaria de Estado de Inmigración, manifestó públicamente que estaba de acuerdo con Sartori sobre el tema de la multiculturalidad. También inspiró Federico Trillo, el Ministerio de Defensa en 2002, cuando argumentó a favor de la la inclusión de los inmigrantes sudamericanos en el Ejército «, ya que son de nuestra cultura», y en contra de la inclusión de los inmigrantes de otras «culturas» (aunque los soldados musulmanes que ya son parte del ejército español).
Como hemos dicho antes, después del 9/11, el debate nacional sobre la inmigración, la integración y el multiculturalismo, rápidamente llegó a centrarse en el Islam y los musulmanes. El debate osciló entre los que equipara el Islam con el terrorismo y, por tanto, era una amenaza para el «oeste», y los que trataron de evitar este tipo de identificaciones.
La situación se agravó después de los atentados del 11 de marzo de 2004 en Madrid. A pesar del dolor, la gente se mantuvo en calma y no eran pocos ataques racistas o islamófobos. Sin embargo, en los medios de comunicación, la situación era diferente. No pasó mucho tiempo antes de artículos de opinión de carácter islamófobo comenzaron a aparecer. En los siguientes meses, se produjo un debate en curso sobre la naturaleza del Islam, su carácter violento e intolerante , y la necesidad del Estado para controlar las mezquitas y lo imanes dijeron que no.

En los últimos dos años la situación de los medios de comunicación parece haberse calmado. Como se observa en el gráfico anterior, la atención que se presta al Islam por dos de los principales periódicos de España ha vuelto a los niveles pre-9/11. Sin embargo, dada la actual crisis económica, la inmigración se ha convertido una vez más una preocupación importante, en los medios de comunicación, así como entre los políticos.
Por ejemplo, las autoridades municipales en una pequeña ciudad en la provincia de Barcelona, Vic, recientemente decidieron impedir el registro de los inmigrantes irregulares en el Registro Municipal. Después de cierta controversia, el ayuntamiento dio marcha atrás y decidió obedecer las leyes en vigor. La controversia ha sido utilizado por el Partido Popular para pedir una reforma en la legislación en materia de inmigración y un «contrato de integración» para los inmigrantes. Este «contrato de integración» fue propuesto por el Partido Popular en su campaña electoral de 2008 (que provocó una gran cantidad de la controversia). Se argumentó que el contrato era necesario hacer los inmigrantes obedecen las leyes, aprender la lengua y respetar las costumbres españolas.
Percepción pública del Islam, prejuicios y la discriminación
[Volver al principio]
En septiembre de 2007, el Centro Español de Investigaciones Sociológicas (CIS) publicó los resultados de una encuesta nacional sobre actitudes hacia la discriminación por motivos de origen racial y étnico. Los encuestados se les preguntó si pensaban que había grupos étnicos, religiosos o culturales que » No se mezclan con el resto de la sociedad «, y los grupos que surgieron a la mente. 15,7% de los encuestados dijo que los «marroquíes, magrebíes, argelinos», 18,2% «musulmanes, mahometanos», 11,1% «árabes» y 7,9% «moros» o moros. Si juntamos todos estos diferentes identificaciones bajo la etiqueta de «musulmanes», entonces el resultado es que el 52,9% de los encuestados cree que los musulmanes no «se integran con el resto de la sociedad», muy lejos de los 18,3% que dijo que «los rumanos «, y el 17,2% que dijo» gitanos «.
La situación no ha cambiado mucho en la última década. Ya a principios de 2001, el «barómetro» del CIS mostró datos similares: Para los encuestados, los magrebíes (no hubo preguntas acerca de «musulmanes») fueron las comunidades menos agradables entre los inmigrantes.
De nuevo, en 2007, el Real Instituto Elcano (un grupo de expertos que declara ser independiente, pero que tiene fuertes vínculos con el Ministerio de Asuntos Exteriores español) publicó una encuesta en la que los resultados mostraron que el 96% de los encuestados cree que los musulmanes eran sexistas, el 90% pensaba que que eran autoritarios, el 68% que eran violentos, y el 37% de ellos tenían una «opinión negativa de la religión musulmana.»
Esto probablemente ha provocado incidencias de la discriminación contra la población musulmana, pero no tenemos ningún dato al respecto. Como la Constitución, nadie en España puede ser obligado a declarar sobre sus creencias religiosas, y las estadísticas de las quejas de discriminación no recogen la afiliación religiosa de las víctimas, ni su origen nacional o étnico. Además, es difícil determinar si un acto de discriminación o una agresión ha sido motivada por la identidad religiosa, étnica o nacional de la víctima. Se necesita una confesión explícita de su autor con el fin de aclarar este punto.
También podemos llegar a una conclusión acerca de la motivación del agresor si su acción tiene un componente simbólico. En ese sentido, las corrientes de la oposición a la apertura de mezquitas, a la que aludimos antes, bien podrían tener un componente islamófobo. Pero, incluso en esos casos, no siempre podemos concluir que esto es necesariamente el caso, ya que también encontramos situaciones similares cuando las iglesias evangélicas o templos testigos de Jehová van a ser abierto. También podemos identificar acciones simbólicas de carácter anti-islámico cuando nos encontramos, por ejemplo, esvásticas pintadas en las paredes de un cementerio islámico o una mezquita.

* Una Salida cruzado Esvástica en las paredes del cementerio islámico en Griñón (Madrid). Diciembre de 2009. Foto por Fernando Bravo.
Pero también podemos identificar acciones islamófobas perpetrados contra las instituciones y las personas que no tienen relación con el Islam. Por ejemplo, en mayo de 2008 el Frente Nacional español (un partido de extrema derecha) organizó una manifestación frente a Casa Árabe [Árabe House, una institución cultural dependiente del Ministerio de Asuntos Exteriores], porque ellos lo identificaron como un centro cultural islámico .

* Poster Frente Nacional en la manifestación en Casa Árabe con el alcalde de Madrid, Alberto Ruiz Gallardón, que llevaba un fez y diciendo: «¡Un Centro Cultural Islámico es exactamente lo que este barrio necesidades y eso es todo» Source:http://estaticos03.cache.el-mundo.net/elmundo/imagenes/2008/05/13/1210696499_extras_ladillos_1_0.jpg .
En todo caso, como se muestra en un estudio reciente realizado por el Instituto de Estudios Sociales Avanzados (IESA-CSIC), hay mucha ignorancia sobre el Islam en España. La mayoría de gente no sabe nada sobre el Islam, y que ni siquiera pueden elaborar un discurso negativo sobre él. Las actitudes negativas hacia los musulmanes solían ser sobre la base de la tradicional aversión hacia los «moros», basadas en estereotipos racistas tradicionales: «el moro es sucio», «el moro es un mentiroso», «el moro es un ladrón», «el moro es perezoso «, etc
ADR (2004): «Radiografía del islam», El País, 17 de mayo.
ABELLA, CARLOS MANUEL (2005): Los Discursos mediáticos about de la Inmigración y el multiculturalismo en España: análisis de los Editoriales de ABC, El Mundo y El País, 1994-2002, Tesis Doctoral, Departamento de Teoría y Metodología Para El Análisis Social , Facultad de Sociología, Universidad de la Coruña, La Coruña.
ABUMALHAM, MONTSERRAT (1995): Comunidades islámicas en España, Madrid, Trotta.
ABU-fez, JOSE (2001): «La presencia del Islam en Canarias: Una visión histórica», Diario de Asuntos de las Minorías Musulmanes, vol 21, n º 1, pp 79-92.
ABU-fez, JOSÉ (2002): El Islam y comunidad islamica en Canarias: prejuicios y Realidades,La Laguna (Santa Cruz de Tenerife), Universidad de La Laguna.
Aixelà, YOLANDA (2001): «¿Que nep ofende De Los» moros «? Discursos Sobre los Musulmanes y Sus Prácticas Sociales «, Scripta Nova: Revista Electrónica de Geografía y Ciencias Sociales, vol. 94, n º 59.
ÁLVAREZ DE MIRANDA, BERTA (2005): «La religiosidad de Los Inmigrantes Musulmanes: Marroquíes en Madrid, turcos en Berlín y bengalíes en Londres», Panorama sociales, n º 2, pp 129-143.
– (2007): «Aquí y allí realizada: Vínculos Transnacionales Y Comunitarios de Los Inmigrantes Musulmanes ES Europa», Real Instituto Elcano. Documento de Trabajo, n º 9, 14 de marzo.
Anuario estadístico de extranjería / Anuario Estadístico de Inmigración, años 1996-2008, Secretaría de Estado de Inmigración y Emigración, Ministerio de Trabajo e Inmigración,http://extranjeros.mtin.es/es/InformacionEstadistica/Anuarios/ .
ARAMBURU OTAZU, MIKEL (2002): Los Otros y Nosotros. Imágenes del inmigrante en Ciutat Vella de Barcelona, Madrid, Ministerio de Educación.
ARIGITA, ELENA (2006): «En representación del Islam en España: Identidades musulmanas y la Impugnación de Liderazgo», el mundo musulmán, vol 96, n º 4, pp 563-584.
– (2007): «Autoridad religiosa y Representación del islam en la España Contemporánea», en PUENTE, CRISTINA DE LA y SERRANO, DELFINA (eds.): Activismo Político y Religioso en el Mundo Islámico Contemporáneo, Madrid, Siglo XXI, pp 27-44.
BRAVO LÓPEZ, FERNANDO (2002): Los Partidos Políticos Parlamentarios españoles ante la Inmigración (1999-2002), Tesis DEA, Departamento de Estudios Árabes e Islámicos, Universidad Autónoma de Madrid.
– (2004): «El Musulmán de como alter-ego irreductible: la expansión del Discurso culturalista», en LÓPEZ GARCÍA, BERNABÉ y Berriane, MOHAMED (eds.): Atlas de la Inmigración marroquí en España, Madrid, UAM-Observatorio Permanente de La Inmigración, pp 433-437.
– (2005): «culturalismo e inmigración musulmana en Europa», en PLANET CONTRERAS, ANA I. y RAMOS, FERNANDO (eds.): Medición Measurement hispano-Marroquíes: Una vecindad en construcción, Guadarrama, Madrid, Ediciones del Oriente y del Mediterráneo , pp 305-351.
– (2009): Islamofobia y antisemitismo: la construcción discursiva de las Amenazas Islamica y judía, Tesis Doctoral, Departamento de Estudios Árabes e Islámicos y Estudios Orientales de la Universidad Autónoma de Madrid, Madrid.
– (2009): «Islamofobia y antimusulmanismo en España: el Caso de César Vidal», Revista de Estudios Internacionales Mediterráneos, n º 8, pp 47-71.
CONTRERAS, JOSÉ MARÍA (2009): «Anexo 1: Marco Jurídico Que regula el campo Religioso en España», en GARCÍA ORTIZ, PUERTO y Hernando de Larramendi MARTÍNEZ, MIGUEL (eds.): Religion.es: Minorias Religiosas baño Castilla-La Mancha , Madrid y Barcelona, Icaria-Fundación Pluralismo y Convivencia, pp 315-335.
DEL OLMO PINTADO, MARGARITA (2000): «Los conversos españoles al Islam: de Mayoría un Minoria porción La Llamada de Dios», Anales del Museo Nacional de Antropología, n º 7, pp 13-40.
DESRUES, THIERRY y PÉREZ Yruela, MANUEL (eds.) (2007): Opinión de los españoles en materia de Racismo y xenofobia. 2007, Madrid, Ministerio de Trabajo y Asuntos Sociales.
ESCOBAR STEMMANN, JUAN J. (2008): «Activismo Islámico en España», Política Exterior, n º 124, pp 67-81.
ESCUDERO, Mansur (2006): «El islam, Hoy en España», en La realidad nueva religiosa española: 25 Jahr de la Ley Orgánica de libertad religiosa, Madrid, Ministerio de Justicia, pp 159-196.
ETXEBERRIA MAULEON, XABIER; RUIZ Vieytez, EDUARDO JAVIER VICENTE TORRADO y, TRINIDAD LOURDES (2007): Identidad Islamica y Espacio Público en el País Vasco , Gipuzkoa, Diputación Foral de Gipuzkoa.
GARCÍA ORTIZ, PUERTO, et al. (2009): «esas Comunidades islámicas», en GARCÍA ORTIZ, PUERTO y Hernando de Larramendi MARTÍNEZ, MIGUEL (eds.): Religión.es: Minorias Religiosas baño Castilla-La Mancha, Madrid y Barcelona, Icaria-Fundación Pluralismo y Convivencia, pp . 245-278.
GARRETA BOCHACA, JORDI (2000): Els musulmans de Catalunya, Lleida, Pagès Editors.
– (2000): «Inmigrantes Musulmanes en Cataluña», Revista Internacional de Sociología, n º 25, pp 151-176.
– (2002): «Inmigrantes Musulmanes En Una sociedad ‘laica’: Procesos de Creación, Consolidación Y RETOS de Futuro De Las Mezquitas», Papers: Revista de Sociologia, n º 66, pp 249-268.
HERNANDO DE LARRAMENDI MARTÍNEZ, MIGUEL (2001): «Imágenes del Islam en la España de hoy», en CATALÁ RUBIO, SANTIAGO y MARTÍ SÁNCHEZ, JOSÉ MARÍA (eds.):El Islam en España: Historia, Pensamiento, Religión y Derecho ( Actas del Primer Encuentro Sobre Minorias Religiosas, Cuenca, 21-22 de marzo de 2000), Cuenca, Universidad de Castilla-La Mancha, pp 63-73.
JABARDO, Mercedes (2006): Senegaleses en España. Conexiones Entre origen y Destino,Madrid, Observatorio Permanente de la Inmigración, Ministerio de Trabajo y Asuntos Sociales.
JIMÉNEZ-Aybar, IVÁN (2004): Aspectos Institucionales Jurídico de do Estatuto,: El Islam en España Pamplona, Gráfica Ediciones Instituto Martín de Azpilcueta de la Universidad de Navarra.
– (2005): «La Alimentación halal de los Musulmanes en España Aspectos Jurídicos Económicos y Sociales», Ius Canonicum, vol 45, n º 90, pp 631-666.
– (2005): «La Estructura Orgánica del Islam en España y la Aplicación del Acuerdo de Cooperación de 1992: Situación actual y Propuestas de futuro», en IZQUIERDO Brichs, Ferran y DESRUES, THIERRY (eds.): Actas del Primer Congreso del Foro de Investigadores Sobre el Mundo Árabe y Musulmán (FIMAM) (Bellaterra-Barcelona 17-19 de marzo de 2005) , Barcelona, FIMAM.
– (2006): «Tras el 11-M: presente y futuro del Proceso de institucionalización del Islam en España», Derecho y Religión, n º 1, pp 67-86.
LACOMBA, JOAN (2000): «La institucionalizado musulmana Inmigración y el islam. La Figura de los imames inmigrados «, Migraciones, n º 7, pp 155-193.
– (2001): El islam inmigrado. Transformaciones y Adaptaciones de las Prácticas Culturales y Religiosas, Madrid, Ministerio de Educación, Cultura y Deporte.
– (2001): «Inmigrantes senegaleses, islam Y cofradías», Revista Internacional de Sociología,n º 29, pp 163-187.
LACOMBA, JOAN y OLMO, NURIA DEL (1996): La Inmigración musulmana y do Inserción: Musulmanes en valencia , Valencia, Patronat Sud-Nord «Solidaritat i Cultura».
LÓPEZ GARCÍA, BERNABÉ (1994): «El regreso de los Musulmanes: la Inmigración marroquí en España o la Inversión de la ONU Ciclo migratorio; Marroquíes y argelinos en el Proceso de regularización en Murcia «, Carthaginensia: Revista de Estudios e Investigación, vol 10, n º 17, pp 113-134.
– (2002): «El islam y la Integración de la Inmigración social», Cuadernos de Trabajo Social, n º 15, pp 129-143.
LÓPEZ GARCÍA, BERNABÉ y Berriane, MOHAMED (eds.) (2004): Atlas de la Inmigración marroquí en España, Madrid, UAM – Observatorio Permanente de la Inmigración.
LÓPEZ GARCÍA, BERNABÉ y PLANET CONTRERAS, ANA I. (2002): «El Islam en España», en Hunter, SHIREEN T. (ed.): Islam, segunda religión de Europa. El nuevo panorama social, cultural y política, Westport (Connecticut), Praeger, pp 157-174.
LÓPEZ GARCÍA, BERNABÉ, et al. (2007): Arraigados. Minorias Religiosas en la Comunidad de Madrid, Madrid, Icaria.
LORENZO VÁZQUEZ, PALOMA (2004): La Enseñanza Islámica en la Comunidad de Madrid,Madrid, Universidad Complutense.
LOSADA, TERESA (2003): «El islam en España: pertenencias y Dinámicas Comunitarias.Del islam en Cataluña al islam de Cataluña «, en ROQUE, MARÍA ÀNGELS (ed.): El islam plural, Barcelona, Icaria-IEMed, pp 353-360
LUCAS, JAVIER DE (2002): «La Inmigración ISLAMICA: de nuevo religión y Política en las Sociedades multiculturales EUROPEAS», laicidad y Libertades: Escritos Jurídicos, n º 2, pp 221-235
MARTÍN CORRALES, ELOY (2004): «Maurofobia / islamofobia y maurofilia / islamofilia en la España del Siglo XXI», Revista CIDOB d’Afers Internacionals, n º 66-67, pp 39-51.
MARTÍN MUÑOZ, GEMA (1994): «El islam en España hoy», en MARTÍN ROJO, LUISA (ed.):Hablar y DEJAR Hablar (Racismo y xenofobia Sobre) , Madrid, Universidad Autónoma de Madrid, pp 219-230.
– (Ed.) (2009): Musulmanes en Espana. Guía de Referencia, Madrid, Casa Árabe.
Metroscopia (2009): «La comunidad musulmana de origen inmigrante en España. Encuesta de Opinión 2008 «, Ministerio del Interior, 11 de Febrero.
MIJARES MOLINA, LAURA RAMÍREZ y FERNÁNDEZ, Francisco (2005): «Gestión del islam y de la Inmigración en Europa: tres Estudios de caso», Migraciones, n º 18, pp 77-104.
MIJARES, LAURA y RAMÍREZ, Angeles (2008): «Mujeres, pañuelo e islamofobia en España: un Estado de la Cuestión», Anales de Historia Contemporánea, n º 24, pp 121-135.
MOLINA, MARTA (2007): «Nuevos Musulmanes», El País, 31 de julio.
MORENO ÁLVAREZ, LUIS F. (2001): «El islam Positivo: la religión de los Jóvenes Musulmanes en España», Migraciones, n º 10, pp 249-295.
MORERAS, JORDI (1999): Musulmanes en barcelona: Espacios y Dinámicas Comunitarias, Barcelona, CIDOB.
– (2002): «Límites y contradicciones en el reconocimiento legal de los musulmanes en España», en Shadid, WAR y Koningsveld, PS VAN (eds .): La libertad religiosa y la neutralidad del Estado: La posición del Islam en la Unión Europea, Leiden, Peeters.
– (2002): «Los musulmanes en España: entre el patrimonio histórico y la construcción minoría», el mundo musulmán, vol 92, n º 1-2, pp 129-142.
– (2003): «¿Un islam en Cataluña o sin islam catalán» en ROQUE, MARÍA ÀNGELS (ed.): El islam plural, Barcelona, Icaria-IEMed, pp 335-351
– (2004): «PREDICAR en tierra ajena: los papeles asumidos Por los imames En El Contexto migratorio», ponencia presentada en el 4 º Congreso sobre la Inmigración en España,Girona, 10-13 de noviembre.
– (2005): «Acuerdos et Désaccords. La régulation publique de l’islam en Espagne et en Catalogne dans sa dimensión locale «, en IZQUIERDO Brichs, Ferran y DESRUES, THIERRY (eds.): Actas del Primer Congreso del Foro de Investigadores Sobre el Mundo Árabe y Musulmán (FIMAM) ( Bellaterra-Barcelona 17-19 de marzo de 2005), Barcelona, FIMAM.
– (2005): «¿Ravalistán? Islam y configuracion comunitaria Entre los pakistaníes en Barcelona «, Revista CIDOB d’Afers Internacionals, n º 68, pp 119-132.
– (2007): Els imanes de Catalunya , Barcelona, Editorial Empúries.
– (2007): Els imanes de Catalunya: rols, expectativas i propostes de Formació, Barcelona, Fundació Jaume Bofill.
– (2008): «¿Conflictos Por El Reconocimiento? Las polémicas en Torno a Los oratorios Musulmanes baño Cataluña «, en PLANET CONTRERAS, ANA I. y MORERAS, JORDI (eds.): Islam e inmigración, Madrid, Centro de Estudios Políticos y Constitucionales, pp 53-79.
– (2008): Musulmans una Cataluña. Radiografia d’un islam implantat, Barcelona, IEMed.
MOTILLA DE LA CALLE, AGUSTÍN (2003): «El islam en España: marco legal», en ROQUE, MARÍA ÀNGELS (ed.): El islam plural , Barcelona, Icaria-IEMed , pp 313-334.
– (Ed.) (2004): Los Musulmanes en Espana. Libertad religiosa e Identidad cultural de Madrid, Editorial Trota.
NAVARRO, LAURA (2008): Contra el islam. La visión deformada del Mundo Árabe en Occidente, Córdoba, Almuzara.
– (2009): «Racismo y Medios de Comunicación: Representaciones del inmigrante magrebí en el cine español», Información y Comunicación. Revista Científica, n º 6, pp 337-362.
NOYA, JAVIER (2007): «Los españoles y el islam», . Real Instituto Elcano ARI, n º 47, pp 13-17.
PÉREZ-DÍAZ, Víctor; ÁLVAREZ-MIRANDA, Berta y CHULIÁ, ELISA (2004): La Inmigración musulmana en Europa. Turcos en Alemania, argelinos en Francia y Marroquíes en España,Barcelona, Fundación «la Caixa».
PLANET CONTRERAS, ANA I. (1997): «Asociacionismo e Islam: el acuerdo de Cooperación del Estado Español Con La Comision Islamica de España y Sus repercusiones en MELILLA y Ceuta «, Awraq, n º 18, pp 171-194.
– (1998): Ceuta y Melilla. Espacios-frontera hispano-Marroquíes, Melilla y Ceuta, Ciudad Autónoma de Melilla, Ciudad Autónoma de Ceuta, UNED-Melilla.
– (2001): «Un colectivo Islámico en la España de Hoy. Del sucursalismo a la desobediencia: Musulmanes y comportamientos Políticos en Melilla «, Anales de Historia Contemporánea, n º 17, pp 485-500.
– (2003): «El islam en Melilla y Ceuta», en ROQUE, MARÍA ÀNGELS (ed.): El islam plural,Barcelona, Icaria-IEMed, pp 369-378.
– (2004): «El Islam y escuela», en LÓPEZ GARCÍA, BERNABÉ y Berriane, MOHAMED (eds.):Atlas de la Inmigración marroquí en España: Atlas 2004, Madrid, Ministerio de Trabajo y Asuntos Sociales y la UAM, pp 420 .
– (2008): «Islam e inmigración: ELEMENTOS PARA UN Análisis y Propuestas de Gestión», en PLANET CONTRERAS, ANA I. y MORERAS, JORDI (eds.): Islam e inmigración, Madrid, Centro de Estudios Políticos y Constitucionales, pp . 9-52.
PROESCHEL, CLAUDE: «Presentación general: España», Eurel. Datos sociológicos y jurídicos sobre las religiones en Europa.
RAMÍREZ FERNÁNDEZ, Francisco (1998): Migraciones, Género e Islam: Mujeres Marroquíes En España, Madrid, Agencia Española de Cooperación Internacional.
TARRÉS CHAMORRO, SOL (1999): «islamización de la vida cotidiana ‘: el Tablig en Sevilla», en CHECA, FRANCISCO y SORIANO, Encarna (eds.): Inmigrantes Entre Nosotros: trabajo, cultura y Educación intercultural, Barcelona, Icaria, pp . 131-156.
– (1999): «Movimientos pietistas Musulmanes en España: el Caso del Tablig sevillano»,Transfretana: Revista del Instituto de Estudios ceutíes, n º 5, pp 149-164.
– (1999): «religiosidad musulmana en España: el Ramadán COMO Tiempo Festivo», Zainak.Cuadernos de Antropología-Etnografía, n º 18, pp 267-282.
– (2006): «Ritos funerarios en el islam: la praxis Entre los Musulmanes de Sevilla», Zainak.Cuadernos de Antropología-Etnografía, n º 28, pp 429-446.
Tatary bakry, Riay (2006): «El islam en España, hoy», La nueva Realidad religiosa española: 25 Jahr de la Ley Orgánica de libertad religiosa, Madrid, Ministerio de Justicia, pp 131-158.
Taules, SILVIA (2004): La Nueva España musulmana , Barcelona, Debolsillo.
VALENCIA, RAFAEL (2003): «Los Nuevos Musulmanes», en ROQUE, MARIA ANGELS (ed.):El islam plural , Barcelona, Icaria, pp 361-368.
VICENTE, ÁNGELES (ed.) (2004): Musulmanes En El Aragón del Siglo XXI , Zaragoza, Instituto de Estudios Islámicos y del Oriente Próximo.
ZAPATA-BARRERO, RICARD; GONZÁLEZ, ELISABET Y SANCHEZ MONTIJANO, ELENA (2008): El Discurso Político en Torno a la Inmigración en España y en la Unión Europea , Madrid, Ministerio de Trabajo e Inmigración y el Observatorio Permanente de la Inmigración.
FUENTE (ARTÍCULO ORIGINAL EN INGLÉS): Muslim Statistics
Por mi parte tengo que añadir que NO estoy de acuerdo con algunos puntos del artículo, sobre todo cuando se habla de «ataques islamófobos.
Si hay islamofóbia es porque ellos se lo han buscado, ni más ni menos. Efectivamente y de esto ya he escrito en otros post, el Islam NO es realmente una religión sino una ideología política, BRUTALMENTE TOTALITARIA (que, además, PERMITE, LEGALIZA Y HASTA ESTIMA RECOMENDABLES prácticas como la PEDERASTÍA (y no solo con niñas, sino también con niños (efebos), aunque luego son completamente intolerantes con la homosexualidad) y la ZOOFILIA. La pederastia con niñas llega hasta la permisión de los matrimonios de adultos, incluyendo ancianos ya en la tercera edad, con menores, con niñas de 9 años incluso, algo que hizo ese aberrante y depravado ser que era su «profeta», el tal Muhammad/Mahoma que, además, era también un auténtico bandolero y que predicaba armado hasta los dientes, llevando guardaespaldas igualmente armados y un tropel de seguidores organizados como un auténtico ejercito y todo esto pretenden imponerlo en las sociedades que les acogen como inmigrantes en el momento en que sean el número suficiente para poder optar incluso a formar parte de nuestros parlamentos e incluso gobiernos.
De cualquier manera, el artículo es muy completo y los datos son, además, datos oficiales por lo que creo que todos aquellos que aun siguen con las «gafas de madera», deberían quitárselas y ver la que nos aguarda pues el crecimiento de esta población es brutal y ya se empiezan a dar casos de musulmanes amenazando a la gente en barrios para que se convierta al Islam y en sus mezquitas se pone a la democracia y a la libertad individual como de herejía a destruir para ser sustituida por su maldita Sharia.
El cartel en el que se habla de un grupo de extrema derecha y efectivamente lo es, dice sin embargo la verdad, así actuó en su momento el Sr. Ruiz-Gallardón, siniestro personaje perteneciente al actual gobierno, supuestamente de derechas (¡ja! ¿ahora hemos inventado la «derecha keynesiana»?) que en su actual cargo de ministro de justicia, ha permitido, contra toda razón, la introducción en la legislación española de una institución del derecho islámico: la kafala, según la cual, Los menores marroquíes que sean adoptados por españoles deberán ser educados en la fe islámica , algo absolutamente INTOLERABLE puesto que se niega el derecho que los padres, las familias, tienen de educar a sus hijos según ellos crean conveniente, sin intervención de nadie ajeno a ella, ni este, ese o aquel estado o esta o aquella autoridad, sea esta civil, militar, religiosa o de lo que sea y por tanto ¿quien es el estado marroquí para venir aquí con estas o quienes son los islámicos para EXIGIR (porque eso es lo que hacen estos BÁRBAROS DEL MEDIOEVO, EXIGIR) nada a nadie?, si quieren que los niños nacidos en países musulmanes, sea Marruecos o cualquier otro se ¿¿¿eduquen??? en esa bazofia de ideología, que se encarguen sus propios estados de hacerlo y en su territorio (claro que también son GILIPOLLAS todos aquellos que, bajo estas condiciones, adopten niños marroquies o musulmanes).
En fin, lo dicho, este post tiene unos datos y unas cifras perfectamente documentadas y nos avisan claramente de lo que nos espera sino REACCIONAMOS Y EXIGIMOS a esta «Casta impresentable de politicastros» que tenemos, por lo civil o por lo criminal que DEJEN DE BAJARSE LOS GAYUMBOS ante esta auténtica PANDEMIA, ante este CANCER que es el ISLAM.


0.000000
0.000000